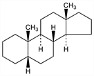
3866. Etiocholane

Nomenclature

CAS number: 438-23-3
(5β)-Androstane; 5-epiandrostane.
C19H32; mol wt 260.46.
C 87.62%, H 12.38%.

Description and references

Parent compd of alkyl substituted etiocholanes, such as pregnane, cholane, coprostane. Prepd from etiocholane-17-one semicarbazone: Butenandt, Dannenbaum, Z. Physiol. Chem. 229, 192 (1934).

Chemical structure

Properties

Needles from acetone, mp 78-80°.