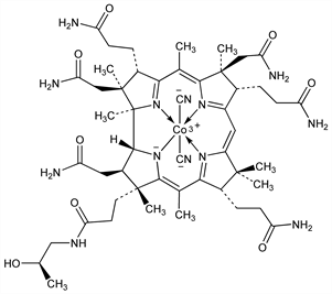
3868. Dicyanocobinamide

Nomenclature

CAS number: 27792-36-5
Co,Co-Bis(cyano-κC)-cobinamide; dicyanocobyrinic acid a,b,c,d,e,g-hexamide f-d-2-hydroxypropylamide; cobinamide dicyanide; etiocobalamin; vitamin B12p; factor B.
C50H72CoN13O8; mol wt 1042.12.
C 57.63%, H 6.96%, Co 5.66%, N 17.47%, O 12.28%.

Description and references

Precursor in the bacterial biosynthesis of vitamin B12. Isoln from calf feces: J. E. Ford, J. W. G. Porter, Biochem. J. 51, v (1952). Prepn by removal of the nucleotide from cyanocobalamin by acid hydrolysis: D. E. Gant et al., ibid. 56, xxxiv (1954); W. Friedrich, K. Bernhauer, Angew. Chem. 65, 627 (1953) DOI. Prepn from cobyrinic acid a,b,c,d,e,g-hexamide (factor V1a) and d(-)-1-amino-2-propanol: K. Bernhauer et al., Helv. Chim. Acta 43, 696 (1960) DOI; idem, US 3072674 (1963 to Hoffmann-La Roche). Purification by HPLC: E. Stupperich et al., Anal. Biochem. 155, 365 (1986) DOI PubMed. Biosynthetic study: J. E. Ford et al., Biochem. J. 59, 86 (1955) PubMed. Alternate pathway: J. D. Woodson, J. C. Escalante-Semerena, Proc. Natl. Acad. Sci. USA 101, 3591 (2004) DOI PubMed.

Chemical structure

Properties

Purple solid. Abs max: 348, 367, 530, 580 nm. Loses cyanide in aqueous solution.