3952. Felinine

Nomenclature

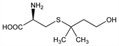
CAS number: 471-09-0
S-(3-Hydroxy-1,1-dimethylpropyl)-l-cysteine; l-3-[(3-hydroxy-1,1-dimethylpropyl)thio]alanine; (-)-felinine.
C8H17NO3S; mol wt 207.29.
C 46.35%, H 8.27%, N 6.76%, O 23.16%, S 15.47%.

Description and references

Sulfur containing amino acid; occurs as l-(-)-form in cat urine. Isoln: R. G. Westall, Biochem. J. 55, 244 (1953). Synthesis of (±)-felinine: S. Trippett, J. Chem. Soc. 1957, 1929; of (-)-felinine: H. Eggerer, Ann. 657, 212 (1962); A. Sch"oberl et al., Ber. 101, 373 (1968).

Chemical structure

Properties

Needles from water + acetone, dec 177°. [α]D25 -11.5° (c = 2.81 in water). Sol in water, ethanol. Practically insol in acetone, ethyl acetate, ether.

Derivative

(±)-Felinine.

Nomenclature

CAS number: 168639-57-4

Properties

Crystals from aq ethanol, dec 181°.