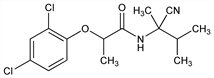
3983. Fenoxanil

Nomenclature

CAS number: 115852-48-7
N-(1-Cyano-1,2-dimethylpropyl)-2-(2,4-dichlorophenoxy)propanamide; AC-382042; NNF-9425; Achieve (BASF).
C15H18Cl2N2O2; mol wt 329.22.
C 54.72%, H 5.51%, Cl 21.54%, N 8.51%, O 9.72%.

Description and references

Melanin biosynthesis inhibitor for control of rice blast fungus. Commercial product consists of a mixture of 4 isomers: 85% (R,RS) and 15% (S,RS). Prepn (stereochem unspec): W. Buck, E. Raddatz, EP 262393 (1987 to Shell). Review of properties and field trials: E. Sieverding et al., Brighton Crop Prot. Conf. - Pests Dis. 1998, 359-366.

Chemical structure

Properties

Off white, odorless solid, mp 69.0-71.5°. d20 1.22 g/cm3. Partition coefficient (n-octanol/water): 3390 ±133 (25°). Soly in water (20°): 30.7 ±0.3 × 10-3 g/l. Sol in most organic solvents. Vapor pressure (25°): 0.21 ±0.021 × 10-4 Pa. LD50 orally in mice, male rats, female rats (mg/kg): >5000, >5000, 4211 (Sieverding).

Use

Agricultural fungicide.