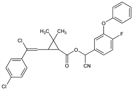
4140. Flumethrin

Nomenclature

CAS number: 69770-45-2
3-[2-Chloro-2-(4-chlorophenyl)ethenyl]-2,2-dimethylcyclopropanecarboxylic acid cyano(4-fluoro-3-phenoxyphenyl)methyl ester; 3′-phenoxy-4′-fluoro-α-cyanobenzyl 2,2-dimethyl-3-[2-(4-chlorophenyl)-2-chlorovinyl]cyclopropane carboxylate; Bayticol (Bayer); Bayvarol (Provet).
C28H22Cl2FNO3; mol wt 510.38.
C 65.89%, H 4.34%, Cl 13.89%, F 3.72%, N 2.74%, O 9.40%.

Description and references

Synthetic pyrethroid insecticide. Prepn: R. Fuchs et al., DE 2730515; eidem, US 4276306 (1979, 1981 both to Bayer). Series of articles on laboratory evaluation, efficacy and toxicology: Vet. Med. Rev. 2, 115-139, 158-177 (1982).

Chemical structure

Properties

Oil, nD25 1.5831.

Use

Insecticide; acaricide.

Therapeutic Category (Veterinary)

Ectoparasiticide.