4239. Formebolone

Nomenclature

CAS number: 2454-11-7
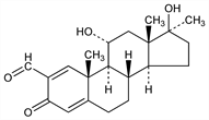
11α,17β-Dihydroxy-17-methyl-3-oxoandrosta-1,4-diene-2-carboxaldehyde; 2-formyl-17α-methylandrosta-1,4-diene-11α,17β-diol-3-one; 2-formyl-11α-hydroxy-Δ1-methyltestosterone; formyldienolone; Esiclene (LPB Braglia).
C21H28O4; mol wt 344.44.
C 73.23%, H 8.19%, O 18.58%.

Description and references

Prepn: Canonica et al., Gazz. Chim. Ital. 95, 138 (1968); Gomarasca, GB 1168931; FR 1584960 (1969, 1970 both to Lab. Prod. Biol. Braglia), C.A. 72, 90742g (1970); 73, 131212a (1970). Pharmacology: idem, Minerva Med. 62, 842 (1971); Vaccari, Livini, ibid. 846; De Marchi et al., Arzneim.-Forsch. 23, 1583 (1973). GC/MS determn of metabolites in urine: R. Massé et al., Anal. Chim. Acta 247, 211 (1991). Toxicological studies: Travella, Gazz. Int. Med. Chir. 76, 400 (1971), C.A. 75, 30792a (1971).

Chemical structure

Properties

Crystals from ethyl acetate, mp 209-212°. [α]D25 105° (CHCl3). Water soluble. Approx LD50 in rats, mice (mg/kg): 104, 187 i.p.; 270, 293 s.c.; orally in rats: >1000 (Travella).

Derivative

11-β-Epimer.

Properties

mp 95-103° from ethyl ether-petr ether.

Note

This is a controlled substance (anabolic steroid): 21 CFR, 1308.13, as defined in 1300.01.

Therapeutic Category

Anabolic.

Keywords

Anabolic