4276. Fructose-6-phosphate

Nomenclature

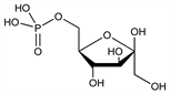
CAS number: 643-13-0
d-Fructose 6-(dihydrogen phosphate); d-fructose-6-phosphoric acid; fructose monophosphate; hexose phosphate; hexose monophosphate; Neuberg ester.
C6H13O9P; mol wt 260.14.
C 27.70%, H 5.04%, O 55.35%, P 11.91%.

Description and references

Present in animal tissues as an equilibrium mixture with glucose-6-phosphate. The glucose-6-phosphate may be reversibly transformed into fructose-6-phosphate by the enzyme phosphohexose isomerase. Prepn by hydrolysis of 1,6-fructose diphosphate with dil acid: Neuberg, Biochem. Z. 88, 432 (1917); DE 334250 (Bayer); Chem. Zentralbl. 1921, II, 961; Frdl. 13, 948. Role in metabolic regulation and heat generation: E. A. Newsholme, Biochem. Soc. Trans. 4, 978 (1976).

Chemical structure

Properties

Very sol in water. [α]D21 +2.5° (c = 3), Meyerhof, Lohmann, Biochem. Z. 185, 117 (1927). [α]D +1.2° (c = 0.9), Lohmann, ibid. 262, 145 (1933). The magnesium and zinc salts also are sol in water. The equilibrium mixture of 75-80% glucose-6-phosphate and 20-25% fructose-6-phosphate is called lactacidogen or Embden ester.