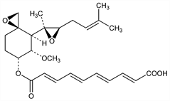
4286. Fumagillin

Nomenclature

CAS number: 23110-15-8
(2E,4E,6E,8E)-2,4,6,8-Decatetraenedioic acid mono[(3R,4S,5S,6R)-5-methoxy-4-[(2R,3R)-2-methyl-3-(3-methyl-2-butenyl)oxiranyl]-1-oxaspiro[2.5]oct-6-yl] ester; 2,4,6,8-decatetraenedioic acid mono[4-(1,2-epoxy-1,5-dimethyl-4-hexenyl)-5-methoxy-1-oxaspiro[2.5]oct-6-yl] ester.
C26H34O7; mol wt 458.54.
C 68.10%, H 7.47%, O 24.42%.

Description and references

Antibiotic substance produced by Aspergillus fumigatus: T. E. Eble, F. R. Hanson, Antibiot. Chemother. 1, 55 (1951); F. R. Hanson, T. E. Eble, US 2652356 (1953 to Upjohn). Purification: D. S. Tarbell et al., J. Am. Chem. Soc. 77, 5613 (1955). Structure: eidem, ibid. 82, 1005 (1960); 83, 3096 (1961). Stereochemistry: N. J. McCorkindale, J. G. Sime, Proc. Chem. Soc. London 1961, 331; J. R. Turner, D. S. Tarbell, Proc. Natl. Acad. Sci. USA 48, 733 (1962). Biosynthesis: A. J. Birch, S. F. Hussain, J. Chem. Soc. C 1969, 1473. Total synthesis of (±)-form: E. J. Corey, B. B. Snider, J. Am. Chem. Soc. 94, 2549 (1972). Anti-amebic activity: M. C. McCowen et al., Science 113, 202 (1951). Acute toxicity: J. A. DiPaolo et al., Antibiot. Annu. 1958-1959, 541. HPLC determn in trout muscle: J. Guyonnet et al., J. Chromatogr. B 666, 354 (1995). Field trial in honey bees: T. C. Webster, J. Econ. Entomol. 87, 601 (1994); in rainbow trout: R. le Gouvello et al., Aquaculture 171, 27 (1999). Clinical evaluation in intestinal microsporidiosis in immunocompromised patients: J.-M. Molina et al., N. Engl. J. Med. 346, 1963 (2002).

Chemical structure

Properties

Yellow needles from methanol, mp 194-195°. [α]D25 26.6° (c = 1 in 95% ethanol). Absorptivity: 156.0 at 335 nm and 146.5 at 351 nm (soln of 100 mg in 10 ml chloroform diluted with alcohol to 0.0004% fumagillin and 0.04% chloroform). Practically insol in water, dil acids, satd hydrocarbons. Sol in most other organic solvents, in aq solns of bicarbonates and alkali hydroxides. Best stored in dark, evacuated ampuls at low temps. Stability data: T. E. Eble, E. R. Garrett, J. Am. Pharm. Assoc. 43, 536 (1954); E. R. Garrett, ibid. 539. LD50 in mice (mg/kg): ≈800 s.c. (DiPaolo).

Derivative

Dicyclohexylamine salt.

Nomenclature

CAS number: 41567-78-6
Bicyclohexylammonium fumagillin; Fumidil B (Sanofi).

Therapeutic Category

Antiprotozoal.

Therapeutic Category (Veterinary)

Antiprotozoal. Control of Nosema apis in honey bees.

Keywords

Antiamebic