4325. Gadofosveset

Nomenclature

CAS number: 201688-00-8
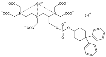
(SA-8-11252634)-[[4-[Bis[(carboxy-κO)methyl]amino-κN]-6,9-bis[(carboxy-κO)methyl]-1-[(4,4-diphenylcyclohexyl)oxy]-1-hydroxy-2-oxa-6,9-diaza-1-phosphaundecan-11-oic acid-κN6N9O11]-1-oxidato(6)]gadolinate(3) trihydrogen; MS-325.
C33H41GdN3O14P; mol wt 891.91.
C 44.44%, H 4.63%, Gd 17.63%, N 4.71%, O 25.11%, P 3.47%.

Description and references

Intravascular contrast agent exhibiting strong but reversible binding to human serum albumin, q.v., in plasma. Prepn: T. J. McMurray et al., WO 9623526 (1996 to Metasyn). Pharmacology and image enhancing characteristics: R. B. Lauffer et al., Radiology 207, 529 (1998). Pharmacokinetics: D. J. Parmelee et al., Invest. Radiol. 32, 741 (1997). Physicochemical properties: R. N. Muller et al., Eur. J. Inorg. Chem. 1999, 1949. Clinical evaluation in cornary artery angiography: D. A. Bluemke et al., Radiology 219, 114 (2001); in peripheral vascular angiography: P. Perreault et al., ibid. 229, 811 (2003).

Chemical structure

Derivative

Trisodium salt.

Nomenclature

CAS number: 193901-90-5
Vasovist (Schering AG).
C33H38GdN3Na3O14P; mol wt 957.86.
C 41.38%, H 4.00%, Gd 16.42%, N 4.39%, Na 7.20%, O 23.38%, P 3.23%.

Therapeutic Category

Diagnostic aid (MRI contrast agent).

Keywords

Diagnostic Aid (MRI Contrast Agent)