4330. Gadoxetic Acid

Nomenclature

CAS number: 135326-11-3
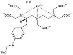
(SA-8-11252634)-[N-[(2S)-2-[bis[(carboxy-κO)methyl]amino-κN]-3-(4-ethoxyphenyl)propyl]-N-[2-[bis[(carboxy-κO)methyl]amino-κN]ethyl]glycinato(5)-κN,κO]gadolinate(2) dihydrogen; 3,6,9-triaza-3,6,9-tris(carboxymethyl)-4-(4-ethoxybenzyl)-undecanedioic acid gadolinium complex; gadolinium ethoxybenzyldiethylenetriaminepentaacetic acid; Gd-EOB-DTPA.
C23H30GdN3O11; mol wt 681.75.
C 40.52%, H 4.44%, Gd 23.07%, N 6.16%, O 25.81%.

Description and references

Paramagnetic hepatobiliary contrast agent. Prepn: H. Schmitt-Willich et al., EP 405704; eidem, US 5695739 (1991, 1997 both to Schering AG). Pharmacology: H.-J. Weinmann et al., Magn. Reson. Med. 22, 233 (1991); and toxicology: A. Mühler et al., Invest. Radiol. 28, 26 (1993). Physicochemical characterization: L. Vander Elst et al., Acta Radiol. 38, Suppl. 412, 135 (1997). Clinical pharmacokinetics: G. Shuhmann-Giampieri et al., J. Clin. Pharmacol. 37, 587 (1997). Clinical evaluation of hepatic imaging: W. Stern et al., Acta Radiol. 41, 255 (2000). Review of preclinical studies: Y. Ni, G. Marchal, Top. Magn. Reson. Imaging 9, 183-195 (1998).

Chemical structure

Derivative

Sodium salt.

Nomenclature

CAS number: 135326-22-6
Gadoxetate; SHL-569B; Eovist (Schering AG).
C23H28GdN3Na2O11; mol wt 725.71.
C 38.07%, H 3.89%, Gd 21.67%, N 5.79%, Na 6.34%, O 24.25%.

Properties

Prepd as 0.5 mol/l soln, osmolality 1.53 osmol/kg. Viscosity (37°) 2.32 mPa.s. Amphiphilic. LD50 i.v. in mice: 7.5 mmol/kg (Weinmann).

Therapeutic Category

Diagnostic aid (MRI contrast agent).

Keywords

Diagnostic Aid (MRI Contrast Agent)