4396. Gentiobiose

Nomenclature

CAS number: 554-91-6
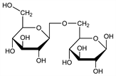
6-O-β-d-Glucopyranosyl-d-glucose; 6-(β-d-glucosido)-d-glucose; amygdalose.
C12H22O11; mol wt 342.30.
C 42.11%, H 6.48%, O 51.41%.

Description and references

From gentianose by partial hydrolysis with 0.2% H2SO4 or with invertin. From d-glucose by enzymatic synthesis with emulsin: Helferich, Lette, Org. Synth. 22, 53 (1942). Prepn and structure: Haworth, Wylam, J. Chem. Soc. 123, 3120 (1923); Hudson, J. Am. Chem. Soc. 51, 1708 (1930). Structure: Hassid, Ballou in W. Pigman, The Carbohydrates (Academic Press, New York, 1957) p 492. Synthesis: Helferich, Klein, Ann. 450, 219 (1926); Reynolds, Evans, J. Am. Chem. Soc. 60, 2559 (1938). Hydrolysis with almond emulsin gives 2 mols d-glucose.

Chemical structure

Derivative

α-Form.

Properties

Lentil-shaped crystals with 2CH3OH from methanol. Bitter taste. Very hygroscopic. mp 86°. Shows mutarotation. [α]D22 +16° (3 min) → +8.3° (3 hrs c = 4). Sol in water, hot methanol, hot 90% alcohol.

Derivative

β-Form.

Properties

Anhydr crystals from alc, mp 190-195°. Shows mutarotation. [α]D22 5.9° (6 min) → +9.6° (6 hrs, c = 3). Sol in water, hot methanol, hot 90% alcohol.