4420. Gibberellins

Nomenclature

GAs.

Description and references

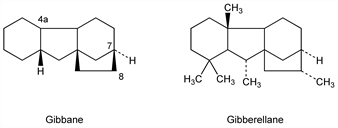
A class of plant growth hormones first isolated in 1938 from cultures of Gibberella fujikuroi (Sawada) Wollenweber (Fusarium moniliforme Sheldon) the fungus causing Bakanae disease in rice: Yabuta, Sumiki, J. Agric. Chem. Soc. Jpn. 14, 1526 (1938). Isolated also from higher plants; for source references see review by Lang, Annu. Rev. Plant Physiol. 21, 537 (1970). More than 60 gibberellins are known of which gibberellin A3, q.v., is the most important. GA3 and mixtures of GA4 and GA7 are available commercially. All gibberellins are diterpenoid acids based on the gibberellane skeleton containing the gibbane nucleus. Major structural differences lie in the substituents at positions 4a, 7, 8 (gibbane numbering) and the presence or absence of a γ-lactone ring. Total synthesis of racemic gibberellins A2, A4, A9, A10: Mori et al., Tetrahedron 25, 1293 (1969); of gibberellin A4: A. L. Cossey et al., Tetrahedron Lett. 1980, 4383; of gibberellin A15: Nagata et al., J. Am. Chem. Soc. 93, 5740 (1971); of gibberellins A15 and A37: E. Fujita et al., J. Chem. Soc. Perkin Trans. 1 1977, 611. Stereochemistry: Meguro, Fuzimura, Tetrahedron Lett. 1968, 6305. Biosynthesis: Cross et al., J. Chem. Soc. C 1968, 1054; Shechter, West, J. Biol. Chem. 244, 3200 (1969). Nomenclature: MacMillan, Takahasni, Nature 217, 170 (1968). Early reviews: Brian et al., Fortschr. Chem. Org. Naturst. 18, 350 (1960); Paleg, Annu. Rev. Plant Physiol. 16, 291 (1965). Recent reviews: Cleland in The Physiology of Plant Growth and Development, M. B. Wilkins, Ed. (McGraw-Hill, New York, 1969) pp 49-81; L. Rappaport, “Applications of Gibberellins in Agriculture”, in Plant Growth Subst., Proc. 10th Int. Conf., F. K. Skoog, Ed. (Springer-Verlag, Berlin, 1980) pp 377-391; I. D. Railton, Cell Biol. Int. Rep. 6, 319-337 (1982). Comprehensive synthetic review: E. Fujita, M. Node, Heterocycles 7, 709 (1977).

Chemical structure

Use

Plant growth hormone. For specific agricultural uses see review by Turner, Outlook Agric. 7, 14 (1972).