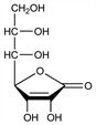
4451. d-Glucoascorbic Acid

Nomenclature

CAS number: 528-88-1
d-arabino-Hept-2-enonic acid γ-lactone; 3-keto-d-glucoheptonofuranolactone.
C7H10O7; mol wt 206.15.
C 40.78%, H 4.89%, O 54.33%.

Description and references

A physiologically inactive homolog of ascorbic acid. Prepn: Ault et al., J. Chem. Soc. 1933, 741; Baird et al., ibid. 1934, 62; Reichstein et al., Helv. Chim. Acta 17, 510 (1934); Stacey, Turton, J. Chem. Soc. 1946, 661; Stedehouder, Rec. Trav. Chim. 71, 831 (1952). Review on analogs of ascorbic acid: Smith, Adv. Carbohydr. Chem. 2, 79 (1946).

Chemical structure

Derivative

Monohydrate.

Properties

Clusters of rod-like crystals with pointed ends from acetone + methanol + petr ether, mp 101-105° (Reichstein); mp 138° (Baird). Becomes anhydr at 70° under high vacuum, mp 191° (Ault). [α]D20 14° (c = 1 as hydrate); [α]D20 22° (c = 1 as hydrate in methanol); [α]D14.5 37.8° (c = 2.41 in 0.01N HCl); [α]D20 80° (c = 0.75 neutralized with NaOH). pK1 4.26; pK2 11.58. Soluble in water; moderately sol in alcohol.