4468. Glufosfamide

Nomenclature

CAS number: 132682-98-5
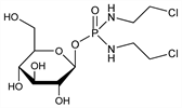
1-[N,N′-Bis(2-chloroethyl)phosphorodiamidate]-β-d-glucopyranose; β-d-glucopyranosyl N,N′-di(2-chloroethyl) phosphoric acid diamide; β-d-glucosylisophosphoramide mustard; D-19575.
C10H21Cl2N2O7P; mol wt 383.16.
C 31.35%, H 5.52%, Cl 18.51%, N 7.31%, O 29.23%, P 8.08%.

Description and references

Glucose coupled to isophosphoramide mustard, the active metabolite of the alkylating agent ifosfamide, q.v. Enters cells through upregulated glucose transport proteins. Prepn: M. Wiessler, M. Dickes, DE 3835772; eidem, US 5622936 (1990, 1997 both to Deutsches Krebsforschungszentrum Stiftung). Pharmacology and toxicity studies: J. Pohl et al., Cancer Chemother. Pharmacol. 35, 364 (1995). Mechanism of action study: H. Seker et al., Br. J. Cancer 82, 629 (2000). Clinical evaluation in pancreatic cancer: E. Briasoulis et al., Eur. J. Cancer 39, 2334 (2003); in non-small cell lung cancer: G. Giaccone et al., ibid. 40, 667 (2004). Review of pharmacology and clinical development: I. Niculescu-Duvaz, Curr. Opin. Investig. Drugs 3, 1527-1532 (2002).

Chemical structure

Properties

LD50 in rats, mice (mg/kg): 1575, 1575 i.v.; 1470, 1470 orally (Pohl).

Therapeutic Category

Antineoplastic.

Keywords

Antineoplastic; Alkylating Agents; Nitrogen Mustards