4534. Granaticin

Nomenclature

CAS number: 19879-06-2
(3aS,5S,8S,9R,11R,13bS,15R)-3,3a,5,8,11,13b-Hexahydro-7,8,12,15-tetrahydroxy-5,9-dimethyl-8,11-ethanofuro[2,3-e]naphtho[2,3-c:6,7-c′]dipyran-2,6,13(9H)-trione; antibiotic WR 141; litmomycin.
C22H20O10; mol wt 444.39.
C 59.46%, H 4.54%, O 36.00%.

Description and references

Antibiotic substance produced by Streptomyces olivaceus from soil of Portuguese West Africa. Isoln and antibacterial activity: R. Corbaz et al., Helv. Chim. Acta 40, 1262 (1957). Determn by microbiological diffusion assay: A. Ricicova, M. Podojil, Folia Microbiol. 10, 299 (1965). Isoln of granaticin B, the α-l-rhodinoside of granaticin: S. Barcza et al., Helv. Chim. Acta 49, 1736 (1966); FR 1525993; W. Keller, H. Zaehner, US 3836642 (1968, 1974 both to Ciba-Geigy). Structure of granaticin and granaticin B: W. Keller-Schierlein et al., Helv. Chim. Acta 51, 1257 (1968); M. Brufani, M. Dobler, ibid. 1269; Naturally Occurring Quinones, R. H. Thomson, Ed. (Academic Press, New York, 2nd ed., 1971) pp 298-302. Identity of granaticin with antibiotic litmomycin: C.-J. Chang et al., J. Antibiot. 28, 156 (1975). Biosynthesis: C. E. Snipes et al., J. Nat. Prod. 42, 627 (1979); eidem, J. Am. Chem. Soc. 101, 701 (1979). Total synthesis of (±)-form: K. Nomura et al., ibid. 109, 3402 (1987); of the natural ()-form: K. Okazaki et al., Chem. Commun. 1989, 354. Cytotoxic action on carcinoma cells: E. Sturdik, L. Drobnica, Neoplasma 30, 3 (1983). Inhibition of RNA synthesis: A. Ogilvie et al., Biochem. J. 152, 517 (1975); P. Heinstein, J. Pharm. Sci. 71, 197 (1982).

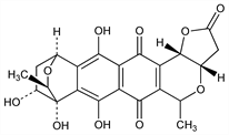
Chemical structure

Properties

Deep red, garnet-like crystals from acetone, dec 204-206°. Also reported as mp 211-213° (dec). Acts as an indicator: red in acids, blue in alkalies. Absorption max (abs ethanol): 223, 286, 532, 576 nm (log ε 4.58, 3.76, 3.87, 3.75).

Derivative

Tetraacetylgranaticin.

Nomenclature

CAS number: 1401-59-8
C30H28O14; mol wt 612.53.
C 58.83%, H 4.61%, O 36.57%.

Properties

Yellow crystals from alc, mp 242-243°. [α]D20 100° (c = 0.818 in chloroform).

Derivative

Granaticin B.

Nomenclature

CAS number: 19879-03-9
C28H30O12; mol wt 558.53.
C 60.21%, H 5.41%, O 34.37%.

Properties

Red crystalline solid from methanolic-HCl, mp 117-119°. [α]D22 +17.2° (c = 0.83 in pyridine). Absorption max (methanol): 223, 285, 527, 566 nm (log ε 4.42, 3.68, 3.76, 3.57).