4599. Halopredone Acetate

Nomenclature

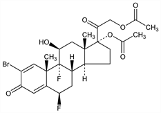
CAS number: 57781-14-3
(6β,11β)-17,21-Bis(acetyloxy)-2-bromo-6,9-difluoro-11-hydroxypregna-1,4-diene-3,20-dione; 2-bromo-6β,9-difluoro-11β,17,21-trihydroxypregna-1,4-diene-3,20-dione 17,21-diacetate; Haloart (Taiho).
C25H29BrF2O7; mol wt 559.39.
C 53.68%, H 5.23%, Br 14.28%, F 6.79%, O 20.02%.

Description and references

Prepn: M. Riva, L. Toscano, DE 2508136; M. Riva et al., US 4226862 (1975, 1980 both to Pierrel); L. Toscano et al., J. Med. Chem. 20, 213 (1977). Physico-chemical and analytical studies: eidem, Arzneim.-Forsch. 27, 1636 (1977). Pharmacology: A. Bianchetti et al., ibid. 2096. Clinical study: B. Palmerio, P. Magnani, ibid. 2404. Toxicological study: L. Casilli et al., ibid. 2102.

Chemical structure

Properties

Crystals from benzene, mp 290-292° (dec). [α]D24 36° (c = 1 in chloroform). uv max (methanol): 246 nm (ε 12500).

Therapeutic Category

Anti-inflammatory (topical).

Keywords

Glucocorticoid