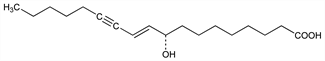
4627. Helenynolic Acid

Nomenclature

CAS number: 7309-58-2
(9S,10E)-9-Hydroxy-10-octadecen-12-ynoic acid.
C18H30O3; mol wt 294.43.
C 73.43%, H 10.27%, O 16.30%.

Description and references

From seed oil of Helichrysum bracteatum Andr., Compositae: R. G. Powell et al., J. Am. Oil Chem. Soc. 42, 165 (1965). Structure: eidem, J. Org. Chem. 30, 610 (1965). Absolute configuration: J. C. Craig et al., ibid. 4342. Partial synthesis of racemic helenynolic acid: H. R. S. Conacher, Gunstone, Lipids 5, 137 (1970). Synthesis of (±)-form: T. B. Patrick, G. F. Melm, J. Org. Chem. 44, 645 (1979).

Chemical structure

Derivative

Methyl ester.

Nomenclature

CAS number: 870-09-7
C19H32O3; mol wt 308.46.
C 73.98%, H 10.46%, O 15.56%.

Properties

uv max (isooctane): 228, 238 nm (ε 17400, 14300). [α]26600 7° (c = 3.6 in ethanol).