4629. Heliosupine

Nomenclature

CAS number: 32728-78-2
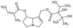
2-Methyl-2-butenoic acid 7-[[2,3-dihydroxy-2-(1-hydroxyethyl)-3-methyl-1-oxobutoxy]methyl]-2,3,5,7a-tetrahydro-1H-pyrrolizin-1-yl ester; cynoglossophine.
C20H31NO7; mol wt 397.46.
C 60.44%, H 7.86%, N 3.52%, O 28.18%.

Description and references

Hepatotoxic pyrrolizidine alkaloid isolated from Heliotropium supinum L., Boraginaceae: Denisova et al., Dokl. Akad. Nauk SSSR 93, 59 (1953); from Cynoglossum officinale L., Boraginaceae: Man'ko, Borisyuk, Ukr. Khim. Zh. 23, 362 (1957), C.A. 52, 2188a (1958); Man'ko, Marchenko, Khim. Prir. Soedin. 7, 537 (1971), C.A. 75, 126598t (1971). Identity with cynoglossophine: Man'ko, Ukr. Khim. Zh. 25, 627 (1959), C.A. 54, 12494d (1960). Structure: Crowley, Culvenor, Aust. J. Chem. 12, 694 (1959). Biosynthesis studies: Crout, J. Chem. Soc. C 1967, 1233. Reviews: see Lasiocarpine.

Chemical structure

Properties

Colorless gum. [α]D20 4.3° (c = 5.1 in ethanol).

Derivative

Methyl ether see Lasiocarpine.