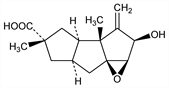
4717. Hirsutic Acid C

Nomenclature

CAS number: 3650-17-7
(1aR,2R,3aR,3bR,5S,6aR,7aS)-Decahydro-2-hydroxy-3a,5-dimethyl-3-methylenecyclopenta[4,5]pentaleno[1,6a-b]oxirene-5-carboxylic acid; 6β,6aβ-epoxy-2,3,3aα,3b,4,5,6,6a,7,7aα-decahydro-5β-hydroxy-2β,3bβ-dimethyl-4-methylene-1H-cyclopenta[a]pentalene-2-carboxylic acid.
C15H20O4; mol wt 264.32.
C 68.16%, H 7.63%, O 24.21%.

Description and references

Antibiotic metabolite isolated from the fungus Stereum hirsutum: Heatley et al., Br. J. Exp. Pathol. 28, 35 (1947). Structure and stereochemistry: Comer et al., Chem. Commun. 1965, 310; Comer, Trotter, J. Chem. Soc. B 1966, 11; Comer et al., Tetrahedron 23, 4761 (1967). Synthesis of (±)-form: Hashimoto et al., Tetrahedron Lett. 1974, 3745; M. Yamazaki et al., Chem. Lett. 1981, 1245. Stereosynthesis: B. M. Trost et al., J. Am. Chem. Soc. 101, 1284 (1979); of (+)-form: M. Shibasaki et al., Tetrahedron Lett. 23, 5311 (1982).

Chemical structure

Properties

Prisms from ethanol, mp 179-182°. [α]D23 +116° (c = 1.05).

Derivative

Methyl ester.
C16H22O4; mol wt 278.34.
C 69.04%, H 7.97%, O 22.99%.

Properties

Colorless prisms, mp 161-162°. [α]D20 +119° (c = 2.25).