4742. Honokiol

Nomenclature

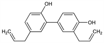
CAS number: 35354-74-6
3′,5-Di-2-propenyl-[1,1′-biphenyl]-2,4′-diol; 3′,5-diallyl-2,4′-biphenyldiol; 5,3′-diallyl-2,4′-dihydroxydiphenyl.
C18H18O2; mol wt 266.33.
C 81.17%, H 6.81%, O 12.01%.

Description and references

Bioactive principle isolated from the bark of Magnolia obovata, Thunb., Magnoliaceae and other Magnolia species used in Japanese and Chinese traditional medicine. Name derived from “Honoki”, the Japanese name of M. obovata. Isomeric with magnolol, q.v. Identification in methanolic extracts of M. obovata bark: M. Fujita et al., Chem. Pharm. Bull. 20, 212 (1972). Isoln from seeds of M. grandiflora L.: F. S. El-Feraly, W.-S. Li, Lloydia 41, 442 (1978). Synthesis: T. Takeya et al., Chem. Pharm. Bull. 34, 2066 (1986). CNS depressant effects in vivo: K. Watanabe et al., Planta Med. 49, 103 (1983). HPLC determn in M. officinalis extracts: T.-H. Tsai, C.-F. Chen, J. Chromatogr. 598, 143 (1992).

Chemical structure

Properties

Colorless needles, mp 86-86.5° (El-Feraly, Li); also reported as mp 87.5° (Fujita). Sol in usual organic solvents and caustic alkali. uv max (ethanol): 294 nm (ε 8200).