4743. Hoodia

Description and references

Genus of succulent plants in the family Apocynaceae, primarily Hoodia gordonii (Masson) Sweet ex Decne. or H. pilifera (L.f.) Plowes (syn. Trichocaulan piliferum); used traditionally by the Bushman of the Kalahari desert as an appetite suppressant, thirst quencher and as a cure for digestive disturbances. Habit. Angola, Botswana, Namibia, and South Africa. Brief review: B.-E. van Wyk, M. Wink, Medicinal Plants of the World (Timber Press, Portland, 2004) p 171. Description of the genus: D. Court, Succulent Flora of Southern Africa (Balkema Press, Rotterdam, 2000) pp 169-172.

Chemical structure

Derivative

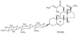
P57AS3.

Nomenclature

CAS number: 384329-61-7
(3β,12β,14β)-3-[(O-6-Deoxy-3-O-methyl-β-d-glucopyranosyl-(1→4)-O-2,6-dideoxy-3-O-methyl-β-d-ribo-hexopyranosyl-(1→4)-2,6-dideoxy-3-O-methyl-β-d-ribo-hexopyranosyl)oxy]-14-hydroxy-12-[[(2E)-2-methyl-1-oxo-2-butenyl]oxy]pregn-5-en-20-one; P57.
C47H74O15; mol wt 879.08.
C 64.22%, H 8.48%, O 27.30%.

Description and references

Steroid glycoside thought to be the anorectic principle. Isoln and activity: F. R. Van Heerden et al., WO 9846243; eidem, US 6376657 (1998, 2002 both to CSIR). Mechanism of action study: D. B. Mac Lean, L.-G. Luo, Brain Res. 1020, 1 (2004).

Properties

mp 147-152°. [α]D20 +12.67° (c = 3 in chloroform).

Use

Appetite suppressant.