4757. Hyaluronic Acid

Nomenclature

CAS number: 9004-61-9

Description and references

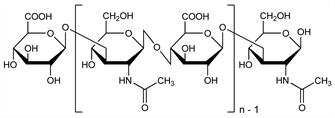
Unbranched high molecular weight polysaccharide made up of alternating glucuronic acid and N-acetyl glucosamine units. Present in the connective tissue of all vertebrates as the hyaluronate; in man high concentrations are found in skin, cartilage, in the umbilical cord, in vitreous body and in synovial fluid. Isoln and characterization: K. Meyer, J. W. Palmer, J. Biol. Chem. 107, 629 (1934); eidem, ibid. 114, 689 (1936). Structure: K. Meyer, Fed. Proc. 17, 1075 (1958). Crystal structure: I. C. M. Dea et al., Science 179, 560 (1973); E. D. T. Atkins, J. K. Sheehan, ibid. 562. Reviews: Tauber, Chemistry and Technology of Enzymes (New York, 1946); Meyer, Rapport in Adv. Enzymol. 13, 199 (1952); R. L. Whistler, E. J. Olson in Adv. Carbohydr. Chem. 12, 299 (1957). Review of role in various developmental processes: B. P. Toole, Cell Biology of Extracellular Matrix, E. D. Hay, Ed. (Plenum Press, New York, 1981) pp 259-288.

Chemical structure

Derivative

Sodium salt.

Nomenclature

CAS number: 9067-32-7
ARTZ (Seikagaku); Connettivina (Fidia); Equron (Solvay); Healon (Pfizer); Healonid (Pfizer); Hyacid (Scanvet); Hyalgan (Fidia); Hyalovet (Fidia); Hyonate (Bayer); Ial (Fidia); Opegan (Santen); Provisc (Alcon); Synacid (Sterivet).

Properties

[α]D25 74° (c = 0.25 in water): Rapport et al., J. Am. Chem. Soc. 73, 2416 (1951).

Use

Surgical aid (ophthalmological).

Therapeutic Category (Veterinary)

Adjunct in treatment of noninfectious synovitis. Osteoarthritis in dogs and horses.