4852. Hygromycin B

Nomenclature

CAS number: 31282-04-9
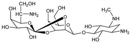
O-6-Amino-6-deoxy-l-glycero-d-galacto-heptopyranosylidene-(1→2-3)-O-β-d-talopyranosyl-(1→5)-2-deoxy-N3-methyl-d-streptamine; Hygromix (Elanco).
C20H37N3O13; mol wt 527.52.
C 45.54%, H 7.07%, N 7.97%, O 39.43%.

Description and references

Antibiotic substance produced by Streptomyces hygroscopicus (Jensen) Waksman & Henrici, from soil samples from Nebraska and Indiana: Mann, Bromer, J. Am. Chem. Soc. 80, 2714 (1958). Prodn: McGuire, Mann, US 3018220 (1962 to Lilly). Structure: Neuss et al., Helv. Chim. Acta 53, 2314 (1970). Studies on mode of action: A. Gonzalez et al., Biochim. Biophys. Acta 521, 459 (1978).

Chemical structure

Properties

Amorphous powder, dec 160-180°. Weakly basic. pKa 7.1, 8.8. [α]D20 +20.2° (c = 1 in water). Freely sol in water, methanol and ethanol. Practically insol in less polar solvents. Absorption spectrum: Mann, Bromer, loc. cit.

Therapeutic Category (Veterinary)

Anthelmintic (swine and chicken).