5096. α-Irone

Nomenclature

CAS number: 79-69-6
4-(2,5,6,6-Tetramethyl-2-cyclohexen-1-yl)-3-butene-2-one.
C14H22O; mol wt 206.32.
C 81.50%, H 10.75%, O 7.75%.

Description and references

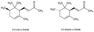
Main perfume ingredient of violets. Both the d-(1,5)-cis- and d-(1,5)-trans-forms occur in nature. Isoln from irone mixture and synthesis: Naves, Helv. Chim. Acta 31, 893, 1103 (1948); Ruzicka et al., ibid. 31, 257 (1948). Synthesis: Barton, Mousseron-Canet, J. Chem. Soc. 1960, 271. Industrial preparation: Kaiser, Kimel, US 2877271 (1959 to Hoffmann-La Roche); Eschenmoser et al., US 3413351; US 3470241 (1968, 1969 to Firmenich & Cie). Nomenclature in early papers: Naves, Helv. Chim. Acta 32, 969 (1949). Stereochemistry: Tribolet, Schinz, ibid. 37, 2184 (1954); Naves, Ardizio, Bull. Soc. Chim. Fr. 1955, 1479; V. Rautenstrauch, G. Ohloff, Helv. Chim. Acta 54, 1776 (1971); V. Rautenstrauch et al., ibid. 67, 325 (1984). Stereoselective synthesis of cis- and trans-α-irones: S. Torii et al., J. Org. Chem. 45, 16 (1980); of (±)-cis-α-irone: C. Nussbaumer, G. Fráter, ibid. 52, 2096 (1987).

Chemical structure

Properties

All forms are viscous liquids with characteristic odors.

Derivative

dl-cis-α-Irone.

Properties

d420 0.9360; nD20 1.50098. uv max (ethanol): 227 nm (ε 15400), Naves, Bachmann, Helv. Chim. Acta 32, 394 (1949).

Derivative

d-cis-α-Irone.

Nomenclature

CAS number: 35124-13-1

Properties

[α]D20 +109° (CH2Cl2).

Derivative

dl-trans-α-Irone.

Properties

d420 0.9347; nD20 1.50119. uv max (ethanol): 229 (ε 15450).

Derivative

d-trans-α-Irone.

Nomenclature

CAS number: 90242-81-2

Properties

[α]D20 +420° (CH2Cl2).