5267. Josamycin

Nomenclature

CAS number: 16846-24-5
Leucomycin V 3-acetate 4B-(3-methylbutanoate); leucomycin A3; EN-141; Iosalide (Schering); Jomybel (Sarva); Josamina (Novag).
C42H69NO15; mol wt 827.99.
C 60.92%, H 8.40%, N 1.69%, O 28.98%.

Description and references

Macrolide antibiotic produced by Streptomyces narbonensis var. josamyceticus nov. var. Isoln and characterization: T. Osono et al., J. Antibiot. 20A, 174 (1967). Manuf process: H. Umezawa,T. Osono, JP 66 21759 (1966 to Microbiochemical Res. Found.), C.A. 66, 54258w (1967). Prepn: Y. Oka et al., JP Kokai 76 41497 (1976 to Yamanouchi), C.A. 85, 121788b (1976). Identification with leucomycin A3: S. Omura et al., J. Antibiot. 23, 511 (1970). Structure: eidem, ibid. 27, 366 (1974). Absolute configuration: A. Ducruix et al., Chem. Commun. 1976, 947. Stereospecific total synthesis: K. Tatsuta et al., Tetrahedron Lett. 1980, 2837. Retrosynthetic studies: K. C. Nicolaou et al., J. Am. Chem. Soc. 103, 1222 (1981). A 17-membered aglycone was proposed at one time, see T. Osono, H. Umezawa in Drug Action and Drug Resistance in Bacteria 1, S. Mitsuhashi, Ed. (University Park Press, Baltimore, 1971) pp 41-120; T. Osono et al., J. Antibiot. 27, 366 (1974). Pharmacology: K. Kuriaki et al., Jpn. J. Antibiot. 22, 232 (1969). Review: T. Osono, H. Umezawa, loc. cit.

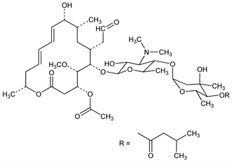
Chemical structure

Properties

Colorless needles from benzene, mp 130-133° (after drying under reduced pressure at 100° for 5 hrs). [α]D25 70° (c = 1 in ethanol). uv max (0.001N HCl): 232 nm (E1%1cm 325). pKa 7.1 (40% aq methanol). Very sol in methanol, ethanol, acetone, chloroform, ethyl acetate, dioxane, acidic water. Sol in butanol, ether, CCl4, benzene, toluene. Practically insol in water, petr ether, ligroin, n-hexane.

Derivative

Propionate.

Nomenclature

CAS number: 51016-68-3
Josacine (Bellon); Josamy (Yamanouchi); Josaxin (Boots); Wilprafen (Mack, Illert.).
C45H73NO16; mol wt 884.06.
C 61.14%, H 8.32%, N 1.58%, O 28.96%.

Therapeutic Category

Antibacterial.

Therapeutic Category (Veterinary)

Antibacterial.

Keywords

Antibacterial (Antibiotics); Macrolides