5273. Juvenile Hormones

Nomenclature

JH.

Description and references

Family of hormones, secreted by the corpora allata, controlling the larval metamorphosis of insects; so named since they induce the retention of insects′ juvenile characteristics and prevent maturation. Isoln from the abdomen of the male wild silk moth, Hyalophora cecropia L.: C. M. Williams, Nature 178, 212 (1956); H. Rller, J. S. Bjerke, Life Sci. 4, 1617 (1965). Structure elucidation of JH I: H. Rller et al., Angew. Chem. Int. Ed. 6, 179 (1967). Racemic synthesis of JH I: K. H. Dahm et al., J. Am. Chem. Soc. 89, 5292 (1967). Toxicity of racemic JH I: J. B. Siddall, M. Slade, Nature New Biol. 229, 158 (1971). Abs config of JH I: K. Nakanishi et al., Chem. Commun. 1971, 1235; A. S. Meyer et al., Proc. Natl. Acad. Sci. USA 68, 2312 (1971). Stereoselective syntheses of JH I: E. J. Corey et al., ibid. 90, 5618 (1968); W. S. Johnson et al., ibid. 6225. Enantioselective syntheses of JH I: P. Loew, W. S. Johnson, ibid. 93, 3765 (1971); D. J. Faulkner, M. R. Petersen, ibid. 3766. Isoln, structure, and abs config of JH II and III: K. J. Judy et al., Proc. Natl. Acad. Sci. USA 70, 1509 (1973). Isoln and structure of JH 0: B. J. Bergot et al., Science 210, 336 (1980); and iso-JH 0 (MeJH I): idem et al. in Juvenile Hormone Biochemistry, G. E. Pratt, G. T. Brooks, Eds. (Elsevier-North Holland Biomedical Press, Amsterdam, 1981) pp 33-45. Biosynthesis, isoln, and structure elucidation of JH III bisepoxide (JHB3): D. S. Richard et al., Proc. Natl. Acad. Sci. USA 86, 1421 (1989). Abs config of JHB3: A. J. Herlt et al., Chem. Commun. 1993, 1497. Enantioselective synthesis of JH III: K. Mori, H. Mori, Tetrahedron 43, 4097 (1987); of JH I and II: K. Mori, M. Fujiwhara, ibid. 44, 343 (1988); of JHB3: R. W. Rickards, R. D. Thomas, Tetrahedron Lett. 34, 8369 (1993). Study of regulatory role: M. Cusson et al., Arch. Insect Biochem. Physiol. 25, 329 (1994). Book: The Juvenile Hormones, L. I. Gilbert, Ed. (Plenum Press, New York, 1976) 572 pp. Review of biosynthesis: D. A. Schooley, F. C. Baker in Comprehensive Insect Physiology, Biochemistry and Pharmacology vol. 8, G. A. Kerkut, L. I. Gilbert, Eds. (Pergamon Press, New York, 1985) pp 363-389. Review of techniques for identification and quantification: F. C. Baker in Morphogenetic Hormones of Arthropods Part 1, A. P. Gupta, Ed. (Rutgers Univ. Press, New Brunswick, 1990) pp 389-453. Review of discovery and identification of JHB3: C.-M. Yin, Zool. Stud. 33, 237-245 (1994). Review of molecular mechanisms of action: G. Jones, Annu. Rev. Entomol. 40, 147-169 (1995).

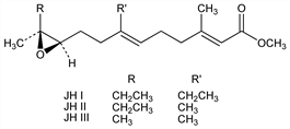
Chemical structure

Derivative

Juvenile hormone I.

Nomenclature

CAS number: 13804-51-8
[2R-[2α(2E,6E),3α]]-7-Ethyl-9-(3-ethyl-3-methyloxiranyl)-3-methyl-2,6-nonadienoic acid methyl ester; methyl (2E,6E,10R,11S)-10,11-epoxy-7-ethyl-3,11-dimethyl-2,6-tridecadienoate; C-18 JH.
C18H30O3; mol wt 294.43.
C 73.43%, H 10.27%, O 16.30%.

Properties

nD24 1.4732. [α]D23 +14.9° (c = 0.935 in chloroform). [α]D22.5 +14.5° (c = 0.78 in methanol).

Derivative

Juvenile hormone II.

Nomenclature

CAS number: 34218-61-6
[2R-[2α(2E,6E),3α]]-9-(3-Ethyl-3-methyloxiranyl)-3,7-dimethyl-2,6-nonadienoic acid methyl ester; methyl (2E,6E,10R,11S)-10,11-epoxy-3,7,11-trimethyl-2,6-tridecadienoate; C-17 JH.
C17H28O3; mol wt 280.40.
C 72.82%, H 10.07%, O 17.12%.

Properties

nD23.5 1.4774. [α]D24.5 +17.6° (c = 0.590 in methanol).

Derivative

Juvenile hormone III.

Nomenclature

CAS number: 22963-93-5
[R-(E,E)]-9-(3,3-Dimethyloxiranyl)-3,7-dimethyl-2,6-nonadienoic acid methyl ester; methyl (2E,6E,10R)-10,11-epoxy-3,7,11-trimethyl-2,6-dodecadienoate; C-16 JH.
C16H26O3; mol wt 266.38.
C 72.14%, H 9.84%, O 18.02%.

Properties

Colorless oil. nD24 1.4736. [α]D24 +6.71° (c = 0.57 in methanol).