5340. Lactitol

Nomenclature

CAS number: 585-86-4
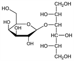
4-O-β-d-Galactopyranosyl-d-glucitol; β-galactoside sorbitol; lactit; lactit M; lactite; lactobiosit; lactosit; lactositol.
C12H24O11; mol wt 344.31.
C 41.86%, H 7.03%, O 51.11%.

Description and references

Polyol sweetener; relative sweetness compared to sucrose is 36%. Prepd by hydrogenation of lactose, q.v.: M. J. B. Senderens, Compt. Rend. 170, 47 (1920); M. L. Wolfrom et al., J. Am. Chem. Soc. 60, 571 (1938). Pharmacology: D. H. Patil et al., Br. J. Nutr. 57, 195 (1987). Crystal structure: J. A. Kanters et al., Acta Crystallogr. C46, 2408 (1990); J. Kivikoski et al., Carbohydr. Res. 223, 45 (1992). Toxicology: E. J. Sinkeldam et al., J. Am. Coll. Toxicol. 11, 165 (1992). Clinical trial in chronic hepatic encephalopathy: O. Riggio et al., Hepatogastroenterology 37, 524 (1990); as a laxative: L. Goovaerts, G. P. Ravelli, Acta Ther. 19, 61 (1993). Review of properties and applications: J. A. van Velthuijsen, J. Agric. Food Chem. 27, 680-686 (1979); of chemistry and use in foods: C. H. den Uyl, Dev. Sweeteners 3, 65-81 (1987).

Chemical structure

Properties

Crystals from absolute ethanol, mp 146°. [α]D23 +14° (c = 4 in water). Sol in water, dimethyl sulfoxide, N,N-dimethylformamide; slightly sol in ethanol, ether. Strongly hygroscopic.

Derivative

Monohydrate.

Nomenclature

CAS number: 81025-04-9
Importal (Novartis); Portolac (Zyma).

Properties

White, sweet, odorless, crystalline solid. Non-hygroscopic. mp 94-97° (van Velthuijsen), water of crystallization evaporates 145°-185°; also reported as mp 120° (den Uyl). [α]D22 +12.3°. Soly at 25° (g/100 g solvent): water 206; ethanol 0.75; ether 0.4; DMSO 233; DMF 39; at 50°: water 512; ethanol 0.88; at 75°: water 917.

Derivative

Dihydrate.

Nomenclature

CAS number: 81025-03-8
Lacty (CCA Biochem).

Properties

White, sweet, odorless, crystalline powder. Data for food grade, mp 75°. [α]D25 +13.5-15.0°. pH of 10% solution 4.5 - 8.5. 140 g will dissolve in 100 ml water at 25°.

Use

Sweetener in food.

Therapeutic Category

Laxative. In treatment of hepatic encephalopathy.

Keywords

Laxative/Cathartic