5343. Lactose

Nomenclature

CAS number: 63-42-3
4-O-β-d-Galactopyranosyl-d-glucose; 4-(β-d-galactosido)-d-glucose; milk sugar.
C12H22O11; mol wt 342.30.
C 42.11%, H 6.48%, O 51.41%.

Description and references

Present in milk of mammals: human 6.7%; cow's 4.5%. Milk at body temp contains lactose as an equilibrium mixture of 2 parts of α-lactose and 3 parts of β-lactose. By-product of the cheese industry, produced from whey: Davis, Can. Dairy and Ice Cream J. 19, 52 (1940); Milk Trade Gaz. 12, 4 (1941); F. Ullmann, Encyklopdie der Technischen Chemie, VII, 579 (2nd ed., 1931). Structure and configuration: Zemplén, Ber. 59, 2402 (1926); Levene, Sobotka, J. Biol. Chem. 71, 471 (1926); Levene, Wintersteiner, ibid. 75, 315 (1927); Haworth, Long, J. Chem. Soc. 1927, 544; Hudson, J. Am. Chem. Soc. 52, 1712 (1930); Hassid, Ballou in The Carbohydrates, W. Pigman, Ed. (Academic Press, New York, 1957) p 495. Synthesis: Haskins et al., J. Am. Chem. Soc. 64, 1852 (1942). Reviews: Whittier, Chem. Rev. 2, 85-125 (1926); J. Dairy Sci. 27, 505-537 (1944); Weisberg, ibid. 37, 1106-1115 (1954); L. A. W. Thelwall, Dev. Food Carbohydr. 2, 275-326 (1980). Comprehensive description: H. G. Brittain et al., Anal. Profiles Drug Subs. 20, 369-398 (1991).

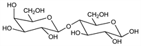
Chemical structure

Properties

On hydrolysis with 2% H2SO4 or with emulsin lactose yields 1 mol d-glucose and 1 mol d-galactose. Reduces Fehling's soln.

Derivative

α-Lactose monohydrate.

Properties

Is the usual milk sugar and the lactose of pharmacy. Monoclinic sphenoidal crystals from water. Faintly sweet taste. Stable in air, but readily absorbs odors. d20 1.53. Becomes anhydrous at 120°. mp 201-202° (rapid heating). Shows mutarotation. [α]D20 +92.6° → +83.5° (10 min.) → +69° (50 min) → +52.3° (22 hrs, c = 4.5). The final value is obtained instantly in the presence of a trace of NH3. U.S.P. requires +54.4° to +55.9° (c = 10). One gram dissolves in 5 ml water, in 2.6 ml boiling water; very slightly sol in alcohol. Insol in chloroform, ether. Ka at 16.5° = 6.0×1013. d420 of aq solns calcd for the monohydrate: 5.2% = 1.018; 10.2% = 1.038; 20.0% = 1.078; 30.2% = 1.123; 50.9% = 1.226; 60.8% = 1.281; 69.1% = 1.330.

Derivative

β-Lactose.
C12H22O11; mol wt 342.30.
C 42.11%, H 6.48%, O 51.41%.

Properties

Obtained by crystallizing concd solns of α-lactose above 93.5°. Somewhat sweeter than the α-form. [α]D25 +34° (3 min) → +39° (6 min) → +46° (1 hr) → +52.3° (22 hrs). One gram dissolves in 2.2 ml water at 15°, in 1.1 ml boiling water. After a few days crystals of the less sol α-monohydrate appear from satd solns.

Use

Both forms of lactose are employed, with the α-form predominating: as a nutrient in preparing modified milk and food for infants and convalescents (Whittier). In baking mixtures. Pharmaceutic aid (tablet and capsule excipient and diluent). To produce lactic acid fermentation in ensilage and food products. As chromatographic adsorbent in analytical chemistry. In culture media. For many additional uses see Weisberg.

Therapeutic Category (Veterinary)

Added to cow's milk for feeding orphan foals.