5342. Lactobionic Acid

Nomenclature

CAS number: 96-82-2
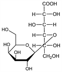
4-O-β-d-Galactopyranosyl-d-gluconic acid; 4-(β-d-galactosido)-d-gluconic acid.
C12H22O12; mol wt 358.30.
C 40.23%, H 6.19%, O 53.58%.

Description and references

Obtained by oxidation of lactose: Fischer, Meyer, Ber. 22, 362 (1889); Ruff, Ollendorff, ibid. 33, 1806 (1900); Isbell, J. Res. Natl. Bur. Stand. 11, 713 (1933); Margariello, US 2746916 (1956 to Nat. Dairy Res. Labs.); Eddy, Nature 181, 904 (1958); Nishizuka et al., J. Biol. Chem. 235, PC13 (1960). Manuf from lactose: Y. Sato et al., DE 2038230 (1971 to Hayashibara Co.), C.A. 74, 142296c (1971). Crystal structure of calcium salt: W. J. Cook, C. E. Bugg, Acta Crystallogr. B29, 215 (1973). NMR studies: T. Taga et al., Bull. Chem. Soc. Jpn. 51, 2278 (1978). For therapeutic use see Erythromycin Lactobionate.

Chemical structure

Properties

Syrup. Freely sol in water, slightly sol in methanol, ethanol, glacial acetic acid. Dehydration by distillation with dioxane yields lactobionic δ-lactone, C12H20O11, non-deliquescent crystals, dec 195-196°. Shows mutarotation. [α]D20 +53.0° initial (c = 8.8) → [α]D20 +22.6° final (240 minutes).

Derivative

Calcium salt.

Nomenclature

Calcium lactobionate.
C24H42CaO24; mol wt 754.65.
C 38.20%, H 5.61%, Ca 5.31%, O 50.88%.

Properties

Pentahydrate, hairlike needles in brushlike groups. When anhydr, slender needles from small amts of anhydr ethanol. [α]D20 +23.7° (c = 6.28). nD20 1.4583 (concd syrup just before crystallization). Freely sol in water.