5360. Lanosterol

Nomenclature

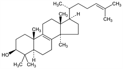
CAS number: 79-63-0
(3β)-Lanosta-8,24-dien-3-ol; kryptosterol.
C30H50O; mol wt 426.72.
C 84.44%, H 11.81%, O 3.75%.

Description and references

The core steroid from which all others are derived by biological modification. From wool fat of sheep: Windaus, Tschesche, Z. Physiol. Chem. 190, 51 (1930). Identity with kryptosterol: Ruzicka et al., Helv. Chim. Acta 28, 759 (1945). Structure: Voser et al., ibid. 35, 2414 (1952); Barnes et al., J. Chem. Soc. 1953, 571. Stereochemistry: eidem, ibid. 1953, 576. Prepn from isocholesterol: Bloch, Urech, Biochem. Prep. 6, 32 (1958). Prepn by cyclization of squalene: Cornforth et al., Ciba Found. Symp. Terpenes Sterols 1958, 119; van Tamelen et al., J. Am. Chem. Soc. 88, 4752 (1966). Mechanism of the squalene to lanosterol conversion: eidem, ibid. 104, 6479, 6480 (1982).

Chemical structure

Properties

Crystals, mp 138-140°. [α]D20 +62.0° (chloroform). .

Derivative

Lanosteryl acetate.

Properties

Crystals, mp 131.5-133°, [α]D20 +62.5° (c = 1.12 in chloroform).