5373. Lasalocid A

Nomenclature

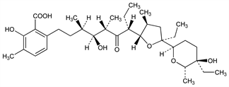
CAS number: 25999-31-9
6-[(3R,4S,5S,7R)-7-[(2S,3S,5S)-5-Ethyl-5-[(2R,5R,6S)-5-ethyltetrahydro-5-hydroxy-6-methyl-2H-pyran-2-yl]tetrahydro-3-methyl-2-furanyl]-4-hydroxy-3,5-dimethyl-6-oxononyl]-2-hydroxy-3-methylbenzoic acid; 3-methyl-6-[7-ethyl-4-hydroxy-3,5-dimethyl-6-oxo-7-[5-ethyl-3-methyl-5-(5-ethyl-5-hydroxy-6-methyl-2-tetrahydropyranyl)-2-tetrahydrofuryl]heptyl]salicylic acid; antibiotic X-537A; ionophore X-4537A; Ro-2-2985; X-537A; Bovatec.
C34H54O8; mol wt 590.79.
C 69.12%, H 9.21%, O 21.67%.

Description and references

Ionophorous (transport-inducing) antibiotic isolated from an unidentified Streptomyces from soil samples of Hyde Park, Mass.: Berger et al., J. Am. Chem. Soc. 73, 5295 (1951). Prepn and activity of title compd and derivs: A. Stempel, J. Westley, DE 2040998; eidem, US 3715372 (1971, 1973 to Hoffmann-La Roche); Westley et al., J. Med. Chem. 16, 397 (1973). Structure: eidem, Chem. Commun. 1970, 71. Crystal and molecular structure studies: Johnson et al., ibid. 72; J. Am. Chem. Soc. 92, 4428 (1970). Total synthesis: T. Nakata et al., ibid. 100, 2933 (1978); R. E. Ireland et al., ibid. 102, 1155 (1980). Complete assignment of 13C-NMR spectra of lasalocid A and its sodium salt: H. Seto et al., J. Antibiot. 31, 289 (1978). Effect in coccidiosis: G. M. J. Horton, P. H. G. Stockdale, Am. J. Vet. Res. 42, 433 (1981). Biosynthesis: Westley et al., Chem. Commun. 1970, 1467; C. R. Hutchinson et al., J. Am. Chem. Soc. 103, 5953, 5956 (1981). Mode of action studies: Lin, Kun, Biochem. Biophys. Res. Commun. 50, 820 (1973). Isoln and structure of four homologs, lasalocids B, C, D, E from Streptomyces lasaliensis: J. W. Westley et al., J. Antibiot. 27, 744 (1974).

Chemical structure

Properties

Crystals, mp 110-114°; also reported as mp 100-109° (unsharp). [α]D25 7.55° (methanol). uv max (50% aq isopropanol): 248, 318 nm (ε 6750, 4200). Sol in organic solvents. Insol in water. LD50 in mice (mg/kg): 40 i.p. (Berger); also reported as LD50 in mice (mg/kg): 146 orally, 64 i.p., J. W. Westley, “Antibiotics (Polyether)” in Kirk-Othmer Encyclopedia of Chemical Technology Vol. 3 (Interscience, New York, 3rd ed., 1978) p 61.

Derivative

Sodium salt.

Nomenclature

Avatec (Roche).
C34H53NaO8; mol wt 612.77.
C 66.64%, H 8.72%, Na 3.75%, O 20.89%.

Properties

Crystals from benzene-ligroin, mp (open capillary) 191-192° (dec), also reported as mp 168-171°. [α]D25 30° (c = 1 in methanol). uv max (50% aq isopropanol): 308 nm (ε 4100).

Therapeutic Category (Veterinary)

Coccidiostat (for poultry).