5428. Lecithins

Nomenclature

CAS number: 8002-43-5
Phosphatidylcholine; Lecithol; Vitellin; Kelecin; Granulestin.

Description and references

Phosphatides found in all living organisms (plants and animals). Significant constituent of nervous tissue and brain substance. A mixture of the diglycerides of stearic, palmitic, and oleic acids, linked to the choline ester of phosphoric acid. Commercial grades contain 2.2% P. Isoln from eggs: Sinclair, Can. J. Res. 26B, 777 (1948). Product of commerce is predominantly soybean lecithin obtained as a by-product in the manuf of soybean oil: Stanley in K. S. Markley, Soybeans vol. II (Interscience, New York, 1951) pp 593-647. Soybean lecithin contains palmitic acid 11.7%, stearic 4.0%, palmitoleic 8.6%, oleic 9.8%, linoleic 55.0%, linolenic 4.0%, C20 to C22 acids (includes arachidonic) 5.5%. Synthesis of a mixed acid α-lecithin: de Haas, van Deenen, Tetrahedron Lett. 1960 (no. 9), 1. Synthetic l-α-(distearoyl)lecithin is identical with hydrogenated egg yolk lecithin and l-α-(dipalmitoyl)lecithin is identical with colfosceril palmitate, q.v., a natural phosphatide of brain, lung, and spleen. Commercial grades of natural lecithin are reported to contain a potent vasodepressor substance: McQuarrie, Andersen, US 2931818 (1960 to Cutter Labs.). Comprehensive monograph: G. B. Ansell, J. N. Hawthorne, Phospholipids (Elsevier, New York, 1964) 439 pp; A. Wendel, “Lecithin” in Kirk-Othmer Encyclopedia of Chemical Technology vol. 15 (Wiley-Interscience, New York, 4th ed., 1995) pp 192-210.

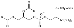
Chemical structure

Properties

Waxy mass when the acid value is about 20. Pourable, thick fluid when the acid value is around 30. Color is nearly white when freshly made, but rapidly becomes yellow to brown in air. d424 1.0305. Iodine value 95; saponification value 196. Insoluble but swells up in water and in NaCl soln forming a colloidal suspension. Soluble in about 12 parts cold, abs alcohol; sol in chloroform, ether, petr ether, in mineral oils and fatty acids; sparingly sol in benzene. Insol in acetone; practically insol in cold vegetable and animal oils.

Use

Edible and digestible surfactant and emulsifier of natural origin. Used in margarine, chocolate and in the food industry in general. In pharmaceuticals and cosmetics. Many other industrial uses, e.g. treating leather and textiles.

Therapeutic Category

Lipotropic.

Keywords

Lipotropic