5604. Lunacrine

Nomenclature

CAS number: 82-40-6
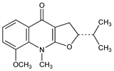
(2R)-3,9-Dihydro-8-methoxy-9-methyl-2-(1-methylethyl)furo[2,3-b]quinolin-4(2H)-one.
C16H19NO3; mol wt 273.33.
C 70.31%, H 7.01%, N 5.12%, O 17.56%.

Description and references

From bark of Lunasia costulata Miq., and L. amara Blanco, Rutaceae. Isoln: Boorsma, Bull. Inst. Bot. Buitenzorg 6, 15 (1900). Structure: Goodwin, Horning, J. Am. Chem. Soc. 81, 1908 (1959). Synthesis: Clarke, Grundon, J. Chem. Soc. 1964, 438. Stereochemistry: Bowman et al., J. Chem. Soc. Perkin Trans. 1 1973, 1051.

Chemical structure

Properties

Fine needles from ethyl acetate, mp 117-119°. [α]25589 50.4°; [α]25436 116° (c = 0.806 in ethanol). Practically insol in water. Freely sol in alcohol, benzene, chloroform, ether, carbon disulfide, ethyl acetate; slightly sol in petr ether.

Derivative

dl-Form.

Nomenclature

CAS number: 95723-59-4

Properties

Prisms from ethyl acetate + pentane, mp 146-148°. [α]25589 +2.3°; [α]25436 +4.2° (c = 0.864 in ethanol).