5620. Lycopene

Nomenclature

CAS number: 502-65-8
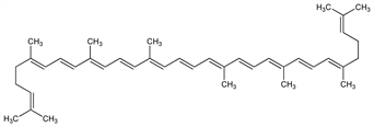
ψ,ψ-Carotene; (all-trans)-lycopene.
C40H56; mol wt 536.87.
C 89.49%, H 10.51%.

Description and references

Carotenoid antioxidant occurring in ripe fruit, especially in tomatoes. One kg of fresh ripe tomatoes yields 0.02 g lycopene. Isoln procedure: R. Willst"atter, H. H. Escher, Z. Physiol. Chem. 64, 47 (1910). Chromatographic sepn from other carotenoids: A. Winterstein, ibid. 215, 51 (1933); A. Winterstein, G. Stein, ibid. 220, 247 (1933). HPLC determn in plasma: M. V. Vertzoni et al., J. Chromatogr. B 819, 149 (2005). Structure: Willst"atter, Escher, loc. cit.; Karrer and collaborators: Helv. Chim. Acta 11, 751, 1201 (1928); 12, 285 (1929); 13, 1084 (1930); 14, 435 (1931); Kuhn, Grundmann, Ber. 65, 898, 1880 (1932). Synthesis: P. Karrer et al., Helv. Chim. Acta 33, 1349 (1950); O. Isler et al., ibid. 39, 463 (1956). Commercial prepn: Kabbe et al., DE 1168890 (1964 to Bayer). Oral toxicity study: W. Mellert et al., Food Chem. Toxicol. 40, 1581 (2002). Review of antioxidant activity and role in human health: A. V. Rao, S. Agarwal, Nutr. Res. 19, 305-323 (1999).

Chemical structure

Properties

Long, deep red needles from carbon disulfide + ethanol, from methylene chloride + methanol, mp 172-173°. Absorption max, trans-form (petroleum ether): 446, 472, 505 nm (E1%1cm 2250, 3450, 3150). One gram dissolves in 50 ml carbon disulfide, in 3 l boiling ether, in 12 l boiling petr ether, in 14 l hexane at 0°. Sol in chloroform, benzene. Almost insol in methanol, ethanol, water.

Derivative

15,15′-cis-Form.

Nomenclature

CAS number: 59092-07-8

Properties

mp ≈105° then solidifies again. Absorption max (petroleum ether): 361, 444, 470, 502 nm (E1%1cm 1110, 1280, 1660, 1280).