5621. Lycophyll

Nomenclature

CAS number: 19891-75-9
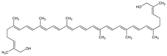
ψ,ψ-Carotene-16,16′-diol; (all-trans)-lycopene-16,16′-diol.
C40H56O2; mol wt 568.87.
C 84.45%, H 9.92%, O 5.62%.

Description and references

Carotenoid pigment, isoln from Solanum dulcamara L. and Lycopersicum esculentum Mill., Solanaceae and structure: Zechmeister, Cholnoky, Ber. 69, 422 (1936). Revised structure: Cholnoky, Szabolcs, Tetrahedron Lett. 1968, 1931. Stereochemistry: Kelly et al., Acta Chem. Scand. 25, 1607 (1971). Synthesis: Kjosen, Liaaen-jensen, ibid. 1500.

Chemical structure

Properties

Purple leaflets from benzene + methanol, needles from benzene + petr ether, mp 179°. Absorption max (benzene): 521, 487, 456 nm. Freely sol in carbon disulfide, less in benzene, ethanol, very slightly sol in petr ether.

Derivative

Dipalmitate.

Properties

Purple needles from benzene + methanol, mp 76°.