5627. Lycoxanthin

Nomenclature

CAS number: 19891-74-8
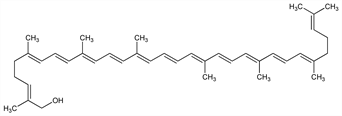
ψ,ψ-Carotene-16-ol; (all-trans)-lycopen-16-ol.
C40H56O; mol wt 552.87.
C 86.90%, H 10.21%, O 2.89%.

Description and references

Carotenoid isolated from Solanum dulcamara L., Lycopersicum esculentum Mill., Solanaceae; Tamus communis L., Dioscoreaceae. Isoln by chromatography and structure: Zechmeister, Cholnoky, Ber. 69, 422 (1936). Structure: Karrer et al., Helv. Chim. Acta 13, 268, 1084 (1930); 14, 614, 843 (1931); Winterstein, Angew. Chem. 72, 902 (1960). Revised structure: Cholnoky, Szabolcs, Tetrahedron Lett. 1968, 1931. Stereochemistry: Kelly et al., Acta Chem. Scand. 25, 1607 (1971). Total synthesis: Kjosen, Liaaen-jensen, ibid. 1500.

Chemical structure

Properties

Purple needles from carbon disulfide. Reddish-brown round or acicular cryst aggregates from benzene + petr ether, mp 168°. Absorption max (acetone): 448, 474 (E1%1cm 3080), 505 nm. Sol in carbon disulfide and benzene. Moderately sol in petr ether. Sparingly sol in alc.

Derivative

Monoacetate.

Properties

Deep purple needles from benzene+ methanol, mp 137°. Freely sol in carbon disulfide; sparingly sol in alcohol, petr ether.