5819. Melezitose

Nomenclature

CAS number: 597-12-6
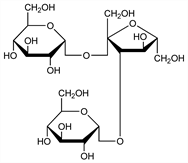
O-α-d-Glucopyranosyl-(1→3)-β-d-fructofuranosyl-α-d-glucopyranoside.
C18H32O16; mol wt 504.44.
C 42.86%, H 6.39%, O 50.75%.

Description and references

Trisaccharide built from 2 mols glucose and 1 mol fructose. Acid hydrolysis yields at first glucose and turanose. Occurs in a manna that forms upon the Douglas fir, jack pine (Pinus virginiana Mill., Pinaceae) and other trees. During periods of drought, bees collect it from the manna in sufficient quantity to change the character of the honey, making it unsuitable for maintaining the bees, but providing a source of melezitose: Hudson, Sherwood, J. Am. Chem. Soc. 42, 116 (1920). Procedure: Bates, Natl. Bur. Stand. Circ. C440, p 472 (1942). Structure: Hehre, Carlson, Arch. Biochem. Biophys. 36, 158 (1952); Hehre, Adv. Carbohydr. Chem. 8, 277 (1953). Review: E. B. Rathbone, Dev. Food Carbohydr. 2, 145-185 (1980).

Chemical structure

Derivative

Dihydrate.

Properties

Crystals from water. The water of crystn is given up at 110°. When anhydr, mp 153-154°. [α]D20 +88° (c = 4). Sol in water, very sparingly sol in alc. Not fermented by baker's yeast; does not reduce Fehling's soln.