5820. Melibiose

Nomenclature

CAS number: 585-99-9
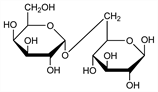
6-O-α-d-Galactopyranosyl-d-glucose; 6-(α-d-galactosido)-d-glucose.
C12H22O11; mol wt 342.30.
C 42.11%, H 6.48%, O 51.41%.

Description and references

Prepd from raffinose by fermentation with top yeast which removes the fructose: Hudson, Harding, J. Am. Chem. Soc. 37, 2734 (1915); Fletcher, Diehl, ibid. 74, 5774 (1952). Structure: Haworth, Leitch, J. Chem. Soc. 113, 188 (1918); Charlton et al., ibid. 1926, 99; Charlton et al., ibid. 1927, 1527; Haworth et al., ibid. 3146; Levene, Jorpes, J. Biol. Chem. 86, 403 (1930). Synthesis: Helferich, Bredereck, Ann. 465, 166 (1928).

Chemical structure

Derivative

Dihydrate.

Properties

Monoclinic crystals from water or dil alcohol. mp 84-85°. Shows mutarotation. [α]D20 +111.7° → +129.5° (c = 4). One gram dissolves in 0.4 ml water, 8.5 ml methanol, 220 ml abs alcohol. Dilute acids hydrolyze melibiose to d-glucose and d-galactose. Also split by emulsin and by bottom yeast. Reduces Fehling's soln. 3.5 g melibiose dihydrate are about as sweet as 1.0 g sucrose.