5862. Meprobamate

Nomenclature

CAS number: 57-53-4
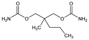
2-Methyl-2-propyl-1,3-propanediol dicarbamate; carbamic acid 2-methyl-2-propyltrimethylene ester; 2,2-di(carbamoyloxymethyl)pentane; 2-methyl-2-propyltrimethylene carbamate; procalmadiol; procalmidol; Andaxin (EGYT); Artolon (Roter); Atraxin (Daiichi); Cyrpon (Bayer); Ecuanil (Wyeth-Ayerst); Equanil (Wyeth-Ayerst); Mepavlon (Zeneca); Meprodil (Streuli); Meprospan (Wallace Labs.); Meprotabs (Wallace Labs.); Miltaun (Wallace Labs.); Miltown (Wallace Labs.); Nervonus (Orion); Oasil (Astra); Perequil (Lepetit); Pertranquil (HMR); Probamyl (Continental Pharma); Quaname (Wyeth); Quanil (Wyeth); Restenil (Recip); Trancot (Truxton); Tranquilan (Bonin); Urbilat (Hor-Fer-Vit); Visano (Kade).
C9H18N2O4; mol wt 218.25.
C 49.53%, H 8.31%, N 12.84%, O 29.32%.

Description and references

Prepn: Ludwig, Piech, J. Am. Chem. Soc. 73, 5779 (1951); Berger, Ludwig, US 2724720 (1955 to Carter Prod.). Pharmacology: F. M. Berger, J. Pharmacol. Exp. Ther. 112, 413 (1954). Comprehensive description: C. Shearer, P. Rulon, Anal. Profiles Drug Subs. 1, 207-232 (1972); C. Shearer, ibid. 11, 587-591 (1982).

Chemical structure

Properties

Crystals from hot water, mp 104-106°. Characteristic bitter taste. Soly in water at 20°: 0.34% (w/w), at 37°: 0.79% (w/w). Easily forms supersatd solns with hot water. Freely sol in most organic solvents. Aq solns are neutral. Stable in dilute acid and alkali. LD50 i.p. in mice: 800 mg/kg (Berger).

Note

This is a controlled substance (depressant): 21 CFR, 1308.14.

Therapeutic Category

Anxiolytic.

Keywords

Anxiolytic; Carbamates