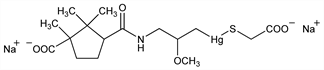
5870. Mercaptomerin Sodium

Nomenclature

CAS number: 21259-76-7
(T-4)-[3-[[(3-Carboxylato-2,2,3-trimethylcyclopentyl)carbonyl]amino]-2-methoxypropyl][mercaptoacetato(2)-O,S]mercurate(2) disodium; N-(γ-carboxymethylmercaptomercuri-β-methoxy)propylcamphoramic acid disodium salt; Diucardyn sodium (Ayerst); Thiomerin sodium (Wyeth).
C16H25HgNNa2O6S; mol wt 606.01.
C 31.71%, H 4.16%, Hg 33.10%, N 2.31%, Na 7.59%, O 15.84%, S 5.29%.

Description and references

Prepn: Lehman, US 2576349 (1951 to Wyeth); Wendt, Bruce, J. Org. Chem. 23, 1448 (1958); Wendt, US 2834795 (1958 to Am. Home Prod.).

Chemical structure

Properties

Hygroscopic white powder. Dec 150-155°. Freely soluble in water. Soluble in alcohol. Practically insoluble in ether, benzene, chloroform.

Therapeutic Category

Diuretic.

Therapeutic Category (Veterinary)

Diuretic.

Keywords

Diuretic; Organomercurials