6144. Metocurine Iodide

Nomenclature

CAS number: 7601-55-0
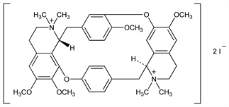
6,6′,7′,12′-Tetramethoxy-2,2,2′,2′-tetramethyltubocuraranium diiodide; (+)-O,O′-dimethylchondrocurarine diiodide; d-tubocurarine iodide dimethyl ether; dimethyl tubocurarine iodide; tubocurarine dimethyl ether iodide; Metubine Iodide (Lilly).
C40H48I2N2O6; mol wt 906.63.
C 52.99%, H 5.34%, I 27.99%, N 3.09%, O 10.59%.

Description and references

Prepd by methylation of d-tubocurarine with methyl iodide.

Chemical structure

Properties

Crystals, dec 257-267°. [α]D22 +148 to +158° (c = 0.25). uv max: 280 nm. (E1%1cm 74). Slightly soluble in water (about 300 mg/100 ml), in dil HCl, in dil NaOH. Very slightly sol in alcohol; practically insol in benzene, chloroform, ether.

Derivative

Trihydrate.

Properties

Large prisms from water, appreciably sol in methanol.

Therapeutic Category

Neuromuscular blocking agent.

Keywords

Neuromuscular Blocking Agent; Nondepolarizing Agents