6158. Metsulfuron-methyl

Nomenclature

CAS number: 74223-64-6
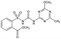
2-[[[[(4-Methoxy-6-methyl-1,3,5-triazin-2-yl)amino]carbonyl]amino]sulfonyl]benzoic acid methyl ester; N-[(4-methoxy-6-methyl-1,3,5-triazin-2-yl)aminocarbonyl]-2-methoxycarbonylbenzenesulfonamide; DPX-T6376; Ally (DuPont); Allie (DuPont).
C14H15N5O6S; mol wt 381.36.
C 44.09%, H 3.96%, N 18.36%, O 25.17%, S 8.41%.

Description and references

Sulfonyl urea used as pre- and postemergence herbicide. Prepn and herbicidal activity: G. Levitt, EP 7687 (1980 to Du Pont); idem, US 4383113 (1983 to Du Pont). Comparison with other herbicides in cereals: A. Aamisepp, Weeds Weed Control 26, 26 (1985). Efficacy in control of gorse: A. I. Popay et al., Proc. 38th N. Z. Weed Pest Control Conf. 1985, 94. Review of properties, herbicidal activity: P. Lefebvre, Def. Veg. 38, 331 (1984).

Chemical structure

Properties

White crystals, mp 163-166°. Vapor pressure at 25°: 5.8×105 mm Hg. Soly in water: 0.27 g/l at pH 4.59; 9.5 g/l at pH 6.11. LD50 in male and female rats, in male and female rabbits (mg/kg): >5000, >2000 orally. LC50 (96 hour) in American perch, rainbow trout: 150 ppm. LD50 in wild ducks: 2510 mg/kg (Lefebvre).

Use

Herbicide.