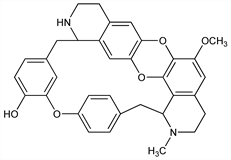
6179. Micranthine

Nomenclature

CAS number: 36104-64-0
6′,7-Epoxy-6-methoxy-2-methyl-oxyacanthan-12′-ol.
C34H32N2O5; mol wt 548.63.
C 74.43%, H 5.88%, N 5.11%, O 14.58%.

Description and references

Minor alkaloid from bark of Daphnandra micrantha (Tul.) Benth., Monimiaceae. Isoln: Pyman, J. Chem. Soc. 105, 1679 (1914). Structure: Bick, Todd, ibid. 1950, 1606. Revised structure and stereochemistry: Bick et al., Tetrahedron Lett. 1972, 33. Biogenesis: I. Ralph, C. Bick, Heterocycles 16, 2105 (1981).

Chemical structure

Properties

Needles from ethyl acetate or methanol, mp 194-196°. [α]D22 231° (c = 0.7 in chloroform). Sol in chloroform, ethanol; sparingly sol in methanol, ethyl acetate, benzene; practically insol in ether.