6181. Micronomicin

Nomenclature

CAS number: 52093-21-7
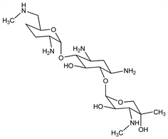
O-2-Amino-2,3,4,6-tetradeoxy-6-(methylamino)-α-d-erythro-hexopyranosyl-(1→4)-O-[3-deoxy-4-C-methyl-3-(methylamino)-β-l-arabinopyranosyl-(1→6)]-2-deoxy-d-streptamine; 6′-N-methylgentamicin C1a; gentamicin C2b; sagamicin (formerly); antibiotic KW-1062; KW-1062; XK-62-2.
C20H41N5O7; mol wt 463.57.
C 51.82%, H 8.91%, N 15.11%, O 24.16%.

Description and references

Gentamicin C complex antibiotic produced by Micromonospora sagamiensis var. nonreducans: T. Nara et al., DE 2326781 (1973 to Kyowa), C.A. 80, 58389b (1974); eidem, US 4045298 (1977 to Abbott). Isoln, physicochemical and antibacterial properties: R. Okachi et al., J. Antibiot. 27, 793 (1974). Structure: R. S. Egan et al., ibid. 28, 29 (1975). Identity with gentamicin C2b: P. J. L. Daniels et al., ibid. 35. Pharmacology: T. Hashimoto et al., Jpn. J. Antibiot. 30, 362 (1977), C.A. 89, 17113z (1978). Toxicity studies: T. Hara et al., ibid. 386-449, C.A. 89, 209205c-8f (1978). Biosynthesis: H. Kase et al., J. Antibiot. 35, 1 (1982); eidem, Agric. Biol. Chem. 46, 515 (1982). Series of articles on pharmacology, metabolism and clinical studies: Chemotherapy (Tokyo) 25, 1801-2287 (1977). See also Gentamicin.

Chemical structure

Properties

White amorphous powder, mp 260° (dec). [α]D20 +116° (c = 1 in water). Sol in water, methanol. Insol in chloroform, ethyl acetate, benzene, petr ether. LD50 i.v. in mice: 93 mg/kg (Okachi).

Derivative

Sulfate.

Nomenclature

6′-N-Methylgentamicin C1a hemipentasulfate; Sagamicin (Kyowa); Santemycin (Santen).
(C20H41N5O7)2.5H2SO4; mol wt 1417.53.
C 33.89%, H 6.54%, N 9.88%, O 38.38%, S 11.31%.

Therapeutic Category

Antibacterial.

Keywords

Antibacterial (Antibiotics); Aminoglycosides