6211. Mitiglinide

Nomenclature

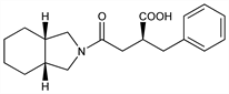
CAS number: 145375-43-5
S,3aR,7aS)-Octahydro-γ-oxo-α-(phenylmethyl)-2H-isoindole-2-butanoic acid; (2S)-2-benzyl-3-(cis-hexahydroisoindolin-2-ylcarbonyl)propionic acid.
C19H25NO3; mol wt 315.41.
C 72.35%, H 7.99%, N 4.44%, O 15.22%.

Description and references

Hypoglycemic agent for treatment of type 2 diabetes. Prepn: F. Sato et al., EP 507534; eidem, US 5202335 (1992, 1993 both to Kissei); T. Yamaguchi et al., Chem. Pharm. Bull. 45, 1518 (1997); eidem, ibid. 46, 337 (1998). Improved synthesis: J. Liu et al., Helv. Chim. Acta 87, 1935 (2004). 2D-NMR conformation study: L. Lins et al., Biochem. Pharmacol. 52, 1155 (1996). Mechanism of action studies: F. Reimann et al., Br. J. Pharmacol. 132, 1542 (2001); N. Kaiser et al., ibid. 146, 872 (2005). Clinical evaluation in type 2 diabetes: R. Assaloni et al., Diabetologia 48, 1919 (2005).

Chemical structure

Properties

Viscous oil. [α]D24 -3.2° (c = 1.04 in methanol); [α]D18 -3.5° (c = 1.00 in methanol).

Derivative

Calcium salt dihydrate.

Nomenclature

CAS number: 207844-01-7; 145525-41-3 (anhydrous)
KAD-1229; S-21403; Glufast (Kissei).
C38H48CaN2O6.2H2O; mol wt 704.91.
C 64.75%, H 7.44%, Ca 5.69%, N 3.97%, O 18.16%.

Properties

Colorless crystals from 5% aqueous ethanol, mp 179-185° C. [α]D18 +5.7° (c = 1.0 in methanol).

Therapeutic Category

Antidiabetic.

Keywords

Antidiabetic