6219. Mivacurium Chloride

Nomenclature

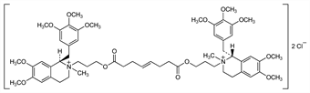
CAS number: 106861-44-3
(1R,1′R)-2,2′-[[(4E)-1,8-Dioxo-4-octene-1,8-diyl]bis(oxy-3,1-propanediyl)]bis[1,2,3,4-tetrahydro-6,7-dimethoxy-2-methyl-1-[(3,4,5-trimethoxyphenyl)methyl]]isoquinolinium dichloride; (R)-1,2,3,4-tetrahydro-2-(3-hydroxypropyl)-6,7-dimethoxy-2-methyl-1-(3,4,5-trimethoxybenzyl)isoquinolinium chloride, (E)-4-octenedioate (2:1); BW-B1090U; Mivacron (GSK).
C58H80Cl2N2O14; mol wt 1100.17.
C 63.32%, H 7.33%, Cl 6.45%, N 2.55%, O 20.36%.

Description and references

Non-depolarizing neuromuscular blocking agent. Prepn: R. A. Swaringen, Jr. et al., DD 235638; eidem, US 4761418 (1986, 1988 both to Burroughs Wellcome). Clinical pharmacology: H. H. Ali et al., Br. J. Anaesth. 61, 541 (1988); J. J. Savarese et al., Anesthesiology 68, 723 (1988). In vitro metabolism: D. R. Cook et al., Anesth. Analg. 68, 452 (1989). Clinical evaluation in adults: S. Weber et al., ibid. 67, 495 (1988); R. P. From et al., Br. J. Anaesth. 64, 193 (1990); in children: J. K. Alifimoff, N. G. Goudsouzian, ibid. 63, 520 (1989).

Chemical structure

Properties

Amorphous solid. [α]20D -62.7° (c = 1.9 in water).

Therapeutic Category

Muscle relaxant (skeletal).

Keywords

Muscle Relaxant (Skeletal)