6344. NAD

Nomenclature

CAS number: 53-84-9
Adenosine 5′-(trihydrogen diphosphate) P′→5′-ester with 3-(aminocarbonyl)-1-β-d-ribofuranosylpyridinium inner salt; 3-carbamoyl-1-β-d-ribofuranosylpyridinium hydroxide 5′→5′-ester with adenosine 5′-(trihydrogen pyrophosphate) inner salt; nicotinamide-adenine dinucleotide; diphosphopyridine nucleotide; DPN; cozymase; coenzyme I; Co I; codehydrogenase; β-NAD; NAD+; nadide.
C21H27N7O14P2; mol wt 663.43.
C 38.02%, H 4.10%, N 14.78%, O 33.76%, P 9.34%.

Description and references

One of the biologically active forms of nicotinic acid, q.v. Occurs in living cells primarily in the oxidized state. Serves as a coenzyme of the dehydrogenases, especially in the dehydrogenation of primary and secondary alcohols. NAD usually acts as a hydrogen acceptor, forming NADH which then serves as a hydrogen donor in the respiratory chain. Isoln from erythrocytes: O. Warburg, W. Christian, Biochem. Z. 287, 291 (1936); from rabbit muscle: S. Ochoa, ibid. 292, 68 (1937); from yeast: H. v. Euler, F. Schlenk, Z. Physiol. Chem. 246, 64 (1937); G. A. LePage, J. Biol. Chem. 168, 623 (1947); Biochem. Prep. 1, 28 (1949). Manuf by fermentation: GB 1190079 (1970 to Kyowa), C.A. 73, 54631g (1970). Synthetic approach: N. A. Hughes et al., J. Chem. Soc. 1957, 3733. Nomenclature: M. Dixon, Science 132, 1548 (1960). Occurs in 2 forms, α-NAD and β-NAD, distinquished by the configuration of the ribosyl nicotinamide linkage. Only the β-anomer is bioactive. Stereochemistry: R. U. Lumieux, J. W. Lown, Can. J. Chem. 41, 889 (1963). NMR studies: N. J. Oppenheimer et al., Proc. Natl. Acad. Sci. USA 68, 3200 (1971); R. H. Sarma, R. J. Mynott, Chem. Commun. 1972, 977; M. Blumenstein, M. A. Raftery, Biochemistry 11, 1643 (1972). Biosynthesis: Nutr. Rev. 30, 139 (1972); J. W. Foster, A. G. Moat, Microbiol. Rev. 44, 83 (1980). Combined bioluminescent assay of NAD and NADH: M. T. Karp, P. I. Vuorinen, Methods Enzymol. 122, 147 (1986). Review: “Niacin: Nicotinic Acid, Nicotinamide, NAD(P)” in Vitamins, W. Friedrich, Ed. (Walter de Gruyter, Berlin, 1988) pp 473-542.

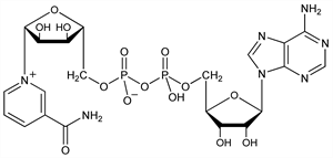
Chemical structure

Properties

Very hygroscopic white powder. Freely sol in water without residue. A 1% soln has a pH of ≈2. Aq solns are stable for ≈1 week. [α]D20 -31.5° (c = 1.2 in water). uv max: 260 nm (ε 18100).

Derivative

Reduced form.

Nomenclature

CAS number: 58-68-4
NADH; DPNH; 1,4-dihydronicotinamide adenine dinucleotide.
C21H29N7O14P2; mol wt 665.44.
C 37.90%, H 4.39%, N 14.73%, O 33.66%, P 9.31%.

Properties

uv max: 260, 340 nm (ε 15000, 6290).