6351. Nafarelin

Nomenclature

CAS number: 76932-56-4
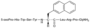
6-[3-(2-Naphthalenyl)-d-alanine]luteinizing hormone-releasing factor(pig); 5-oxo-l-prolyl-l-histidyl-l-tryptophyl-l-seryl-l-tyrosyl-3-(2-naphthyl)-d-alanyl-l-leucyl-l-arginyl-l-prolylglycinamide; [6-[3-(2-naphthyl)-d-alanine]] LHRH; d-nal(2)6-LHRH; NAG.
C66H83N17O13; mol wt 1322.47.
C 59.94%, H 6.33%, N 18.01%, O 15.73%.

Description and references

Synthetic peptide agonist analog of LH-RH, q.v. Prepn: J. J. Nestor et al., US 4234571 (1980 to Syntex); eidem, J. Med. Chem. 25, 795 (1982). Suppression of luteal and placental function in baboons: B. H. Vickery et al., Fertil. Steril. 36, 664 (1981). Inhibition of ovulation in humans: J. A. Gudmundsson et al., Contraception 30, 107 (1984). Radioimmunoassay in plasma and serum: C. Nerenberg et al., Anal. Biochem. 141, 10 (1984). Kinetics and tissue disposition in animals: N. I. Chu et al., Drug Metab. Dispos. 13, 560 (1985). Clinical evaluation in benign prostatic hyperplasia: C. A. Peters, P. C. Walsh, N. Engl. J. Med. 317, 599 (1987); in endometriosis: M. R. Henzl et al., ibid. 318, 485 (1988). Review of clinical studies: P. G. Hoffman et al., J. Androl. 8, Suppl., S17-S22 (1987).

Chemical structure

Derivative

Monoacetate.
C66H83N17O13.C2H4O2; mol wt 1382.52.
C 59.08%, H 6.34%, N 17.22%, O 17.36%.

Properties

mp 188-190°. [α]D25 -27.4° (c = 0.9 in acetic acid).

Derivative

Acetate hydrate.

Nomenclature

CAS number: 86220-42-0
RS-94991-298; Nacenyl (Syntex); Nasanyl (Yamanouchi); Synarel (Syntex); Synrelina (Syntex).
C66H83N17O13.xC2H4O2.yH2O.

Therapeutic Category

Treatment of endometriosis.

Keywords

LH-RH Agonist