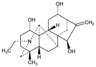
6367. Napelline

Nomenclature

CAS number: 5008-52-6
(1α,12α,15β)-21-Ethyl-4-methyl-16-methylene-7,20-cycloveatchane-1,12-15-triol; luciculine.
C22H33NO3; mol wt 359.50.
C 73.50%, H 9.25%, N 3.90%, O 13.35%.

Description and references

Isoln from Aconitum napellus L., Ranunculaceae: Freudenberg, Rogers, J. Am. Chem. Soc. 59, 2572 (1937); Jacobs, Craig, J. Biol. Chem. 143, 611 (1942). The product obtained by these isoln procedures is a mixture of at least three compounds. Structure: Wiesner, Valenta, Fortschr. Chem. Org. Naturst. 16, 53 (1958). Related stereochemical studies: Okamoto et al., Chem. Pharm. Bull. 13, 1270 (1963). Total synthesis of racemic napelline: Wiesner et al., Can. J. Chem. 52, 2353, 2355 (1974); S. P. Sethi et al., ibid. 58, 1889 (1980).

Chemical structure

Properties

Rectangular plates from ether + petr ether.

Derivative

Hydrochloride.
C22H34ClNO3; mol wt 395.96.
C 66.73%, H 8.65%, Cl 8.95%, N 3.54%, O 12.12%.

Properties

Solvated crystals, dec 200-222°. [α]D22 -93.9° (c = 5). Sol in water.