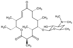
6421. Narbomycin

Nomenclature

CAS number: 6036-25-5
12-Deoxypicromycin.
C28H47NO7; mol wt 509.68.
C 65.98%, H 9.29%, N 2.75%, O 21.97%.

Description and references

Antibiotic substance produced by Streptomyces narbonensis from soil near Cannes, France: Corbaz et al., Helv. Chim. Acta 38, 935 (1955). Structure: Prelog et al., ibid. 45, 4 (1962). Stereochemical studies: Rickards, Smith, Tetrahedron Lett. 1970, 1025; H. Ogura et al., J. Am. Chem. Soc. 97, 1930 (1975); eidem, Tetrahedron 37, Suppl. 1, 165 (1981). Isoln and structure of the aglycone narbonolide: Hori et al., Chem. Commun. 1971, 304. Synthesis of narbonolide: T. Kaiho et al., J. Org. Chem. 47, 1612 (1982).

Chemical structure

Properties

Crystals from ether + petr ether, mp 113.5-115°. [α]D20 +68.5° (c = 1.35 in chloroform). uv max (abs ethanol): 225, 286 nm (log ε 4.06, 2.23). LD50 s.c. in mice: 500 mg/kg (Corbaz).